MA Là Gì? Cách Sử Dụng Đường Trung Bình Động Để Nhận Diện Xu Hướng Thị Trường
- Chỉ báo MA là gì?
MA (Moving Average) là chỉ báo phân tích kỹ thuật được dùng để làm “mượt” dữ liệu giá bằng cách tạo ra một đường trung bình của giá cổ phiếu trong một khoảng thời gian nhất định. MA giúp nhà đầu tư xác định xu hướng giá, phát hiện tín hiệu mua/bán và giảm nhiễu từ biến động ngắn hạn.
2. Các loại đường MA phố biến.
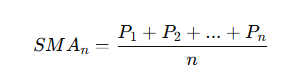
2.1 Simple Moving Average (SMA) – Trung bình động đơn giản:
- Tính trung bình giá đóng cửa của một cổ phiếu trong một số phiên nhất định (ví dụ 20 phiên).
- Công thức:

Trong đó Pi là giá đóng cửa từng phiên, và n là số phiên.
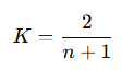
2.2 Exponential Moving Average (EMA) – Trung bình động hàm mũ:
Công thức tổng quát:

Trong đó:
- EMAt: Giá trị EMA tại thời điểm hiện tại (ngày t)
- Pt: Giá đóng cửa tại ngày t
- EMAt−1: EMA của ngày trước đó
- K: Hệ số làm mượt (smoothing factor)

- n: Số phiên tính EMA (ví dụ: EMA20 → n = 20)
So sánh EMA và SMA
| Tiêu chí | EMA | SMA |
| Độ phản ứng | Nhanh | Chậm |
| Trọng số | Giá gần nhất nặng hơn | Trọng số đều |
| Tín hiệu | Nhanh hơn nhưng dễ nhiễu | Chậm nhưng ổn định |
3. Ứng dụng các đường MA
3.1 Xác định xu hướng (Trend following)
3.1.1. Góc nghiêng và vị trí của đường MA
- MA nghiêng lên, giá nằm trên MA: Xu hướng tăng.

- MA nghiêng xuống, giá nằm dưới MA: Xu hướng giảm.

- MA đi ngang, giá giao cắt liên tục: Thị trường đi ngang, không xu hướng rõ ràng

Lưu ý: MA càng dài (ví dụ MA200) thì xu hướng càng ổn định nhưng phản ứng chậm. MA ngắn (như MA20) phản ứng nhanh nhưng dễ bị nhiễu.
3.1.2 Vị trí giữa các đường MA (MA Alignment)
Tín hiệu xu hướng tăng:
- MA ngắn hạn nằm trên MA trung hạn, MA trung hạn nằm trên MA dài hạn.
Ví dụ: MA20 > MA50 > MA200
- Giá bám sát hoặc nằm trên MA20/MA50.

Tín hiệu xu hướng giảm:
- MA ngắn hạn nằm dưới MA trung/dài hạn:
Ví dụ: MA20 < MA50 < MA200
- Giá liên tục đóng cửa dưới các đường MA.

3.1.3. Khoảng cách giữa các MA
- Khi khoảng cách giữa các MA mở rộng: xu hướng mạnh. Và ngược lại, khi khoảng cách giữa các đường MA gần nhau thì xu hướng chưa mạnh

- Khi các MA hội tụ (gần nhau): thị trường đang tích lũy, có thể chuẩn bị đổi xu hướng.

3.2 Tín hiệu giao cắt.
- Golden Cross: MA ngắn hạn (ví dụ MA50) cắt lên MA trung hạn (ví dụ MA50) → tín hiệu mua.
- Death Cross: MA ngắn hạn cắt xuống MA trung hạn → tín hiệu bán.

3.3 Hỗ trợ và kháng cự
- MA có thể đóng vai trò như đường hỗ trợ động trong xu hướng tăng, hoặc kháng cự động trong xu hướng giảm.
- Giá bật lên từ đường MA → tiếp tục xu hướng.
- Giá phá vỡ MA → cảnh báo đảo chiều.

4. Kết hợp đường MA và Bollingerband.
- Kết hợp giữa EMA6, EMA10, MA20 và dải Bollingerband để xác định điểm mua sau thời gian tích lũy của cổ phiếu.
- Giá đang đi sideway, các đường ema6, ema10 và ma20 di chuyển gần nhau, sau đó cắt nhau và sắp xếp theo thứ tự (ma nhỏ thì nằm dưới ma lớn hơn)
- Tại vị trí này, dải Bollingerband bó hẹp.
- Sau khi sự giao cắt diễn ra, chính là điểm mua đẹp.

5. Một số lưu ý khi sử dụng đường MA
MA là chỉ báo trễ (lagging indicator)
- MA không dự đoán tương lai, mà chỉ phản ánh xu hướng đã hình thành.
- Trong giai đoạn đảo chiều, MA thường phản ứng chậm, do lấy trung bình nhiều phiên.
Lưu ý: Tránh vào lệnh chỉ dựa vào MA nếu thị trường đang bước vào vùng đảo chiều nhanh.
Cẩn trọng với thị trường đi ngang (sideway)
- Trong thị trường không có xu hướng, giá dao động quanh MA, dễ tạo ra nhiều tín hiệu sai (false signals).
- Giao cắt giữa các MA trong giai đoạn sideway thường không đáng tin cậy.
Lưu ý: Hãy kết hợp với chỉ báo khác như RSI, MACD, Bollinger Bands để xác nhận xu hướng rõ ràng.
Chọn khung thời gian MA phù hợp với mục tiêu giao dịch
| Loại MA | Mục tiêu giao dịch |
| MA10–20 | Ngắn hạn (lướt sóng) |
| MA50 | Trung hạn |
| MA100–200 | Dài hạn, xu hướng lớn |
Lưu ý: Không nên sử dụng MA20 cho đầu tư dài hạn hoặc MA200 cho giao dịch trong ngày.
Sự khác nhau giữa SMA và EMA
- EMA phản ứng nhanh hơn với giá mới → phù hợp cho giao dịch ngắn hạn.
- SMA ổn định hơn, ít nhiễu hơn → thích hợp để đánh giá xu hướng dài hạn.
Lưu ý: EMA thường được trader ưa chuộng hơn trong chiến lược giao dịch nhanh.
Đừng dùng MA làm chỉ báo độc lập
- MA không nên dùng riêng lẻ để đưa ra quyết định mua/bán.
- Nên kết hợp:
- MA + RSI → xác định đà và quá mua/quá bán.
- MA + MACD → xác nhận đà và điểm giao cắt tín hiệu.
- MA + Volume → xác minh sức mạnh của phá vỡ hoặc đà tăng/giảm.
Xem xét mốc thời gian và dữ liệu đầu vào
- Giá mở cửa, giá cao/thấp, hay giá đóng cửa sẽ cho kết quả MA khác nhau.
- Đa số nhà đầu tư dùng giá đóng cửa để tính MA.
Lưu ý: Giữ thống nhất công thức tính trong suốt quá trình phân tích để đảm bảo độ tin cậy.
Cẩn thận với tín hiệu “đảo chiều giả” (whipsaws)
- Khi giá chỉ phá nhẹ đường MA rồi quay đầu, dễ khiến trader mua đuổi hoặc cắt lỗ sai thời điểm.
- Nên đợi xác nhận bằng nến đóng cửa hoặc khối lượng để giảm thiểu rủi ro.





Bình luận về bài viết này